| 일 | 월 | 화 | 수 | 목 | 금 | 토 |
|---|---|---|---|---|---|---|
| 1 | 2 | 3 | 4 | |||
| 5 | 6 | 7 | 8 | 9 | 10 | 11 |
| 12 | 13 | 14 | 15 | 16 | 17 | 18 |
| 19 | 20 | 21 | 22 | 23 | 24 | 25 |
| 26 | 27 | 28 | 29 | 30 |
Tags
- orderby
- sorted
- 코세라머신러닝강의
- 안드류응
- 경제공부
- 코세라머신러닝
- 머신러닝강의
- mysql
- 파이썬
- groupby
- POP
- WHERE
- DATE_FORMAT
- Andrew NG
- sql
- 코세라
- PYTHON
- 코세라강의
- Algorithm
- 인프런sql강의
- 프로그래머스SQL
- coursera
- Machine Learning
- 머신러닝
- map
- sql오답노트
- SQL공부
- 알고리즘
- programmers
- 프로그래머스
Archives
- Today
- Total
미래를 예측하는 데이터분석가
[Coursera] 머신러닝 Andrew Ng 강의 3주차 정리노트 - 1 본문
Machine Learning by professor Andrew Ng in Coursera
Day 6 - Logistic Regression
Classification

분류문제에서는 레이블값(0...n)값을 예측하는 것이므로 값을 넣어주면 레이블값을 찾기위해 시그모이드(Sigmoid)함수에 넣어 값을 찾는다.
그 식이 다음과 같이 시그모이드에 값을 넣어주면 0에서 1사이의 확률값을 찾아내고 그 값으로 레이블값을 정하는데 쓰인다.
선형함수를 쓰지 못하는 이유는 선형은 값이 커짐에 따라 계속해서 커지면서 발산하기 때문이다.
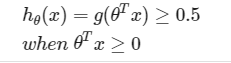
Decision Boundary 분류 0과 1을 구별하기위해 Decision Boundary를 찾는다. 시그모이드 함수값이 0.5이상이 되는 경우가 y=1이라고 할 때 여기서 z 즉, theta transpose * x값이 0보다 크거나 같다.
그러므로 다음과 같이 식이 나온다.

'강의노트 > Coursera' 카테고리의 다른 글
| [Coursera] 머신러닝 Andrew Ng 강의 3주차 정리노트 - 3 (0) | 2021.02.16 |
|---|---|
| [Coursera] 머신러닝 Andrew Ng 강의 3주차 정리노트 - 2 (0) | 2021.02.15 |
| 코세라 머신러닝 Octave 설치 및 과제 제출 (0) | 2021.02.12 |
| [Coursera] 머신러닝 Andrew Ng 강의 2주차 정리노트 - 2 (0) | 2021.02.08 |
| [Coursera] 머신러닝 Andrew Ng 강의 2주차 정리노트 - 1 (0) | 2021.02.05 |